CREST Mental Maths Olympiad Class 5 Sample Paper

Prepare your child to tackle tricky maths questions with speed and accuracy using the CREST Mental Maths Olympiad Sample Paper for Class 5. This paper is ideal for enhancing mental calculation skills and analytical thinking.

Key Features of Class 5 CREST Mental Maths Sample Paper

  • Includes questions on Knowing Our Numbers, Integers and Mensuration etc.
  • Balanced mix of concept-based and timed problems for effective practice
  • Structured as per the CREST Class 5 Mental Maths Olympiad format

Download the Class 5 CREST Mental Maths Olympiad Sample Paper PDF to strengthen your child's foundation and improve Olympiad exam readiness.

>> Join CREST Olympiads WhatsApp Channel for latest updates. Sample PDF of CREST Mental Maths Olympiad for Class 5:


If your web browser doesn't have a PDF Plugin. Instead you can Click here to download the PDF

Syllabus:

Knowing our numbers
Integers
Fractions and Decimals
Playing with Numbers
Understanding Elementary Shapes
Mensuration
Data Handling and Symmetry
Comparing Quantities

Sample Questions

Q.1 Q.2 Q.3 Q.4 Q.5 Q.6 Q.7 Q.8 Q.9 Q.10

Q.1

The ratio of red balls to blue balls in a bag is 3 : 4. How many blue balls are there if there are 18 red balls?

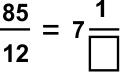
Q.2

Fill in the blank with correct number:



Q.3

Mr Robert made a pictograph below to show the number of cars washed at a car washing station three days a week.
From the pictograph, find the number of cars were washed on Friday:



Q.4

A school library has different subject books shown in the given pictograph.
What is the total number of books in the library?



Q.5

A man buys a watch for $55 and sells it for $70. What is his profit percentage?

Q.6

The area of a triangle with a base 6 cm and a height 4 cm is:

Q.7

If a shirt is on sale for 20% off its original price of $50, what is the sale price?

Q.8

What comes next in the given series?
121, 232, 343, _____.

Q.9

Lena wants to divide a piece of ribbon into equal-length pieces. If she wants each piece to be 12 cm long, but her ribbon is only 180 cm long, what is the greatest number of pieces she can cut?

Q.10

Find the perimeter of the given figure:



Your Score: 0/10

Answers to Sample Questions from CREST Olympiads:

Q.1cQ.2dQ.3dQ.4bQ.5dQ.6bQ.7aQ.8bQ.9dQ.10d

Answers to Sample Questions from CREST Olympiads:

Q.1 : c | Q.2 : d | Q.3 : d | Q.4 : b | Q.5 : d | Q.6 : b | Q.7 : a | Q.8 : b | Q.9 : d | Q.10 : d

70%